동짓날이 얼마 지나지 않은 춥고 긴 겨울밤입니다.
오늘 이른 새벽에 깨더니,,, 갑작스런 비보와 어지럽고 답답한 세상돌아가는 소식, 그와중에 소소한 나의 일상의 할일들로 이런저런 상념들이 꼬리에 꼬리를 물더니 결국 그렇게 잠을 설쳐 버렸네요.
많은 사람들이 요즘 긴 긴밤 다시 잠 못들고, 이런저런 생각들이 많을 것 같아요. 에휴...
아무튼 좀 센치해졌는데, 화제 전환해서,,,
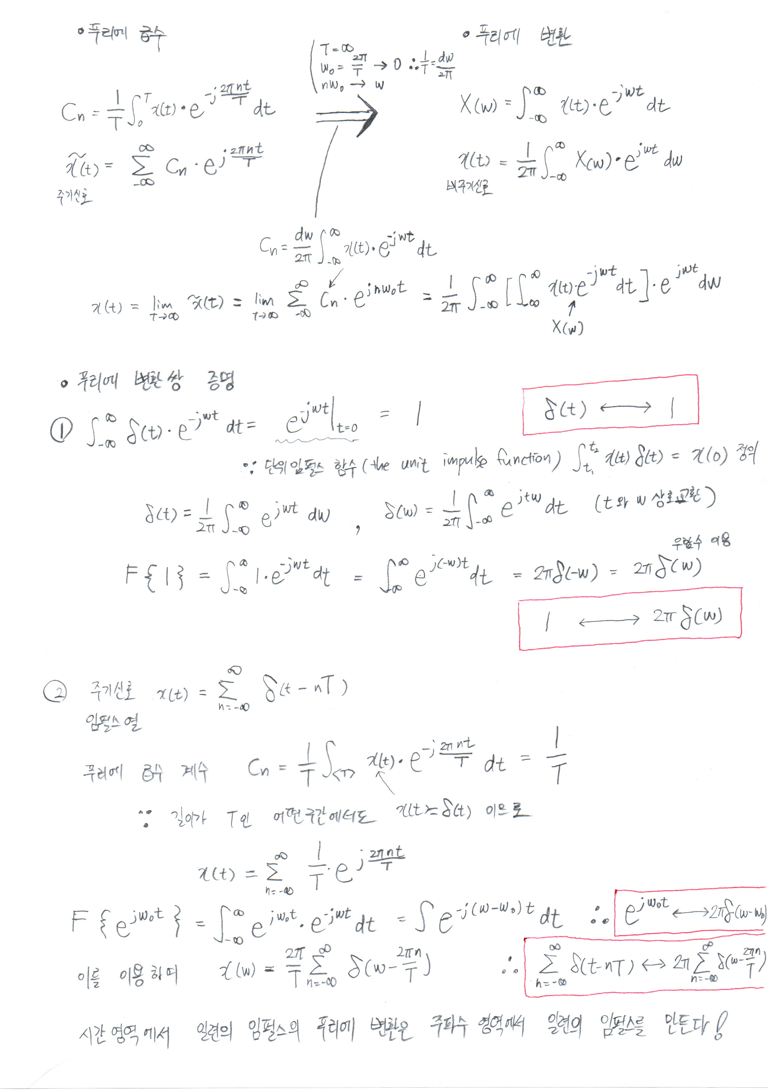
오늘 소개할 주제는 드디어 대망에 푸리에(Fourier)! 그리고 푸리에 변환쌍과 변환특징 이에요.
원래 통신이론 시작하기 전에 먼저 정리하고 가면 좋았을 텐데,,, 여러분들은 이것부터 처음으로 보시면 좋아요!
기초다지기 셈치고, 대부분은 푸리에 변환(Fourier Transform) : 네이버 블로그 (naver.com) 를 참고하고, 오랜만에 신호처리 전공서적을 다시 뒤적거려 봤습니다.
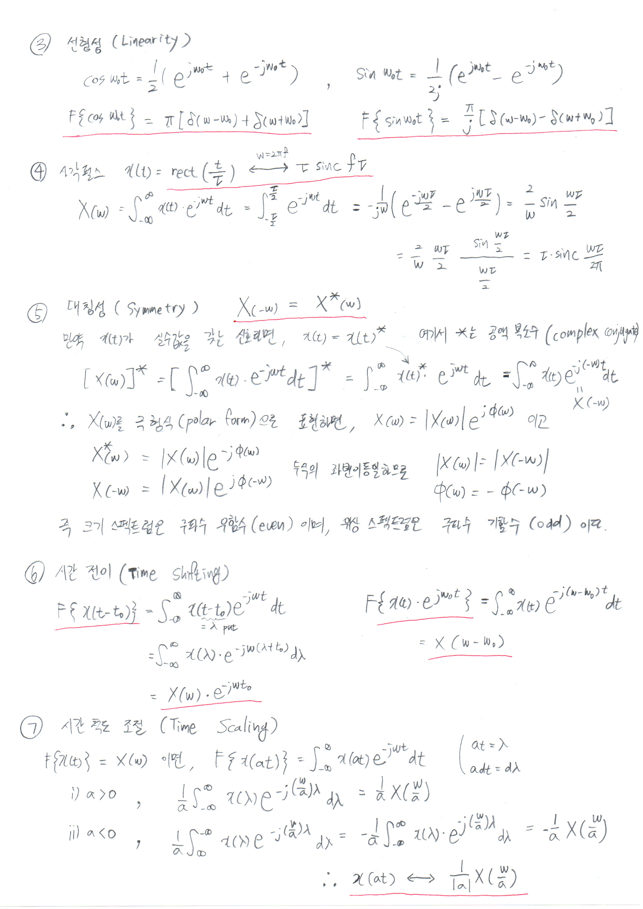
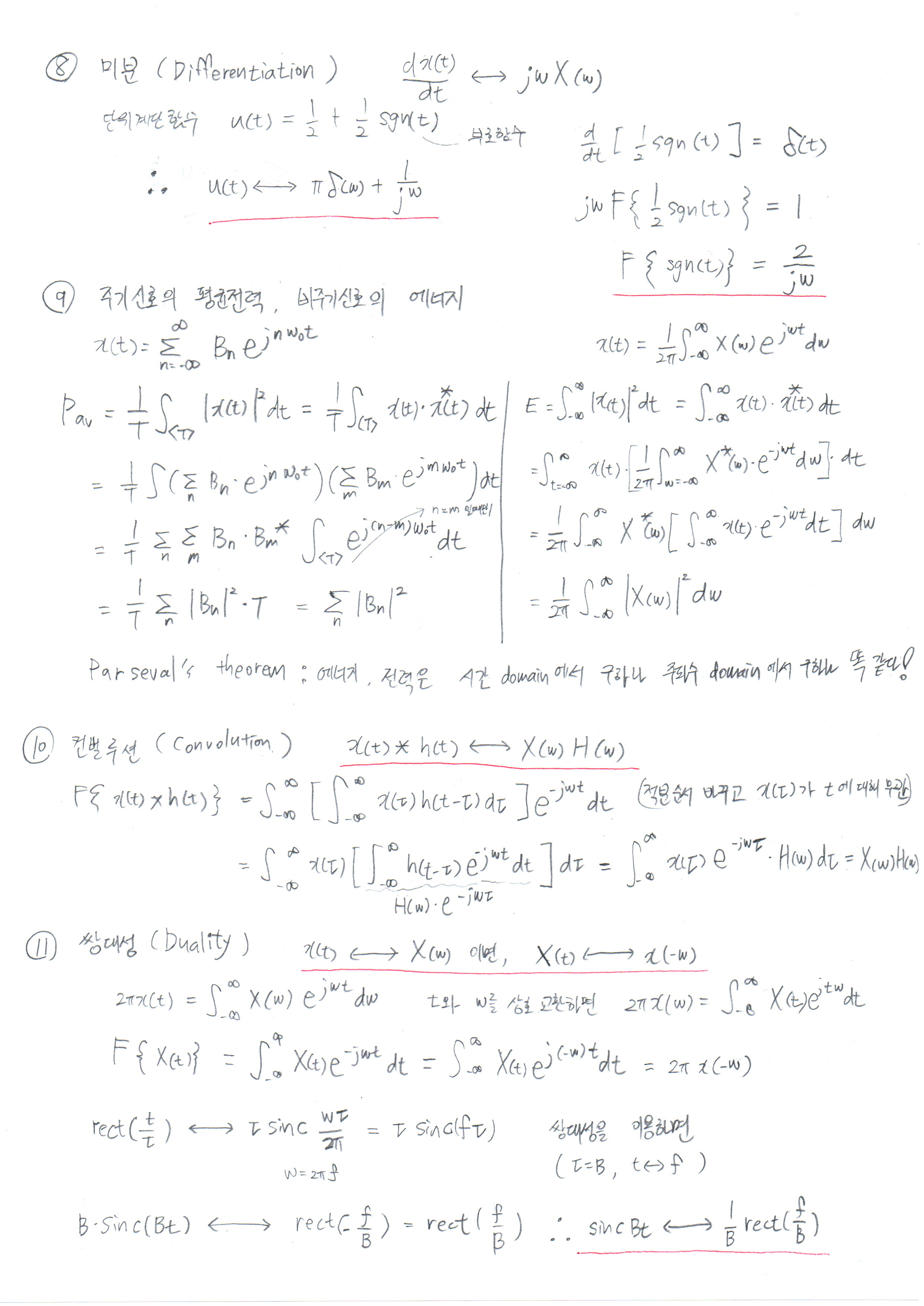
먼저 푸리에 급수, 푸리에 변환 식을 정리해 보고, 이를 이용해 대표적인 푸리에 변환쌍들을 증명해 보겠습니다.
원래는 푸리에 변환쌍과 변환특징을 구분해서 따로 블로그해 보려고 했으나 하다보니 같이 갈무리가 되 버렸습니다.
제가 악필이라 다소 공개하기 꺼려지긴 하지만, 충분히 인식 가능하리라 생각하고, 이해 부탁드립니다.
마음이 어지러울때 성경필사하듯 옮겨 적으면,,, 아닙니다.




PDF파일은 여기에 첨부합니다!
마지막으로,,, 관심이 없을 지 모르지만, 제 개인적인 경험을 말씀드리고 가야할 것 같아요. 후회되는 부분들인데,,,
제가 학부시절 통신전공 공부를 왜 그렇게 수업교재 1권만 보고, 요령도 없이 무식하게 했나 모르겠어요. 그리고 그 아까운 청춘시간을 알차게 활용하지 못하고 왜 많이 낭비했는지 후회가 됩니다.(ㅜ,,ㅜ)
그에 반해 현재는 전공공부하기 정말 좋은 자료와 정보들이 넘쳐납니다. 여러분들도 도서관과 인터넷 등 다양한 컨텐츠를 적극 활용하시길 추천해요! 다양한 길을 찾아 헤매다 보면 갑자기 안보이던 길도 보이고, 거부감은 무뎌지고 이해한 것 처럼 익숙해 지더라고요.
그리고,,, 모든 분야가 그렇듯,,, 공부하고 노력한 만큼,,, 아는 만큼 보이는 법입니다!
제 경험상 그런 것 같습니다. 감사합니다!
'통신이론' 카테고리의 다른 글
| 다양한 신호들의 DFT(FFT) 예시 (0) | 2024.03.01 |
|---|---|
| 라플라스(Laplace) 변환, DFT(FFT), Z변환 (1) | 2024.02.14 |
| 위상동기루프 PLL(Phase Lock Loop) 모델링 및 시현 (1) | 2024.01.23 |
| 아날로그 진폭변조(AM) - SSB, VSB (0) | 2023.12.13 |
| 아날로그 진폭변조(AM) - DSB (0) | 2023.11.07 |